Шероховатость Ra и Rz: влияние радиуса вершины пластины и подачи (с формулами)
Содержание:
- Основные понятия
- Влияние радиуса вершины пластины и подачи на Ra и Rz
- Таблица зависимости шероховатостей Ra и Rz
- Таблицы и стандарты
- Расчет шероховатости
- Практические рекомендации
- Заключение
В машиностроении шероховатость поверхности Ra является одним из ключевых показателей качества обработки деталей. Она влияет на износ, трение, герметичность соединений и долговечность изделий.
На практике чаще всего используются два основных параметра: шероховатость Ra и Rz параметр, которые позволяют количественно оценить микронеровности поверхности.
Ниже расскажем что значит шероховатость при точении и почему зависит от подачи и геометрии инструмента, а также покажем формулы и практические методы расчета.
Основные понятия
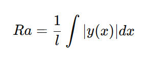
Шероховатость Ra
Обозначение шероховатости Ra — это среднее арифметическое отклонение профиля поверхности от средней линии. Это наиболее распространенный параметр оценки качества обработки.
Формально:
Где:
Шероховатость Rz
Измерение шероховатости Rz определяется как средняя высота неровностей профиля по десяти точкам (пять вершин и пять впадин).
Этот параметр более чувствителен к единичным дефектам поверхности.
Чем отличается Ra и Rz
Многие задаются вопросом: в чем разница разница шероховатости Ra и Rz ?
- Ra — усреднённое значение
- Rz — максимальные перепады профиля
Чем отличается шероховатость Ra от Rz — ответ заключается в чувствительности к пикам и впадинам.
Другие параметры
В инженерной практике используются и другие характеристики, например:
Параметры шероховатости Ra, Rz, Rmax включают:
- Ra — среднее значение
- Rz — высота неровностей
- Rmax — максимальная высота профиля
Влияние радиуса вершины пластины и подачи на Ra и Rz
При токарной обработке основными факторами являются подача и геометрия инструмента.
Шероховатость поверхности при точении радиуса вершины напрямую зависит от радиуса при вершине пластины
и подачи
.
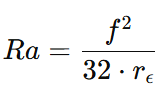
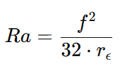
Основная формула шероховатости Ra и Rz при точении рассчитывается как:
А также используется приближение:
Где:
Таблица зависимости шероховатостей Ra и Rz
Анализ:
- Увеличение подачи резко ухудшает шероховатость
- Увеличение радиуса вершины улучшает качество поверхности
- При малых подачах достигается высокая чистота обработки
Таблицы и стандарты
В промышленности используются нормы шероховатость Ra и Rz (ГОСТ), регламентированные стандартами.
Классы шероховатости:
Здесь важно учитывать класс шероховатости Ra, так как она напрямую связана с допусками и функциональностью детали.
Расчет шероховатости
Инженеры часто выполняют оценку без приборов.
Как определить шероховатость Ra точно, через формулу:
Пример расчета
Дано:
Тогда:
Также важно понимать, сколько будет шероховатость Rz при изменении подачи — зависимость квадратичная.
Практические рекомендации
Для достижения требуемого качества важно учитывать:
- Выбор инструмента
- Большой радиус вершины улучшает поверхность
- Но увеличивает силы резания
- Режимы обработки
шероховатость при точении при чистовом достигается при:
- малой подаче
- стабильной жесткости системы
- хорошем инструменте
Соотношение параметров
На практике используется шероховатость Ra и Rz соотношение:
Допуски
При проектировании важно учитывать допуск шероховатости поверхности Ra, так как он влияет на посадки и ресурс детали.
Шаг неровностей
Геометрически шаг шероховатость поверхности при точении зависит от подачи:
Дополнительно
Иногда требуется перевод шероховатость Ra и Rz между системами обозначений (ISO, DIN, ГОСТ).
Также важно понимать, что значение шероховатости Ra выбирается в зависимости от назначения детали.
Заключение
Понимание того, что такое шероховатость Ra и Rz, позволяет правильно выбирать режимы обработки и инструмент.
Основные выводы:
- Ra — базовый параметр качества
- Rz — контроль пиков неровностей
- Подача влияет сильнее всего
- Радиус вершины улучшает поверхность
Правильный выбор параметров обработки позволяет обеспечить требуемую точность, снизить износ и повысить надежность изделий.
